AI(人工知能)が数学の未解決問題を相次いで解いたと話題を呼ぶ中、AIの波は証明分野から計算分野にも広がっている。複雑な多項式を解く鍵となる「グレブナー基底」の計算でも、AIを使って効率化する研究が始まっている。千葉大学国際高等研究基幹の計良宥志准教授は、解から逆算して学習データを作る「新しい数学」に取り組む。計算とAIの接点の最前線を追う。
「生成AIで複雑な計算を効率よく解けるようにしたい」――。計良准教授は、そんな問題意識から生成AIを活用した計算代数の研究に取り組む。扱うのは複雑な多項式の問題だ。多項式計算の困難さは、耐量子暗号の安全性の前提にもなっている。重い計算のどこにAIを生かせるかが、研究の焦点だ。
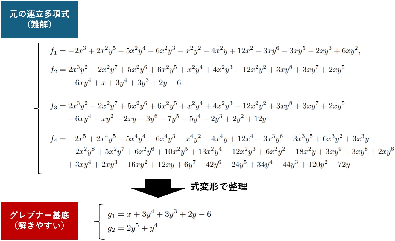
複雑な連立多項式を扱う際に登場するのが「グレブナー基底」である。計良准教授は、グレブナー基底について「簡単に言えば、ややこしくてよく分からない連立方程式を解きやすい形に整理する技術のこと」と説明する。式変形を繰り返すことで、グレブナー基底に落とし込めるという。
問題は、グレブナー基底に落とし込むまでの計算負荷が依然大きいことだ。「変数が20個、30個と増えるにつれて、指数関数的に難しくなっていく」(計良准教授)。
計良准教授らは、グレブナー基底に落とし込むまでの計算をAIの力を借りて効率化しようとしている。だが、AIに解いてほしい問題をただ与えるだけでは、うまくいかない。大規模言語モデル(LLM)は、与えられた文脈から次に続くトークンを予測する仕組みを基礎にしている。厳密さが求められる数式処理とは、そのままでは相性がよくない。
「画像認識では多少入力が変わっても『猫は猫』だが、数式では係数や記号が1つ違うだけで答えが変わる」(計良准教授)。そこで計良准教授は、学習データを工夫することでこの難題に挑んでいる。
次のページ
AIのための「新しい数学」この記事は有料会員限定です





