書籍『最短コースでわかるディープラーニングの数学 増補改訂版』(日経BP)の目標は「数学を通じて機械学習・深層学習(ディープラーニング)を理解する」ことです。従来の初心者向け書籍と逆の発想で「数学から逃げない」形にしています。
本特集では、書籍の冒頭部を抜粋し、「そもそも機械学習・ディープラーニングとはどういうものなのか」ということと、「なぜ機械学習・ディープラーニングで数学が必要なのか」を高校1年レベルの数学を使って、わかりやすい例を通じて説明していきます。第3回は前回の例題の続きです。
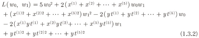
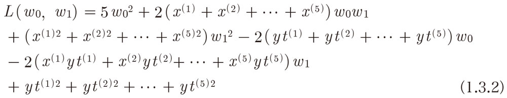
前回つくった(1.3.2)の式は、w0とw1に関する2次式になっています。
この式のうち、w0w1とw0の係数はそれぞれ入力データのx座標とy座標の値を足しただけの式になっているので、座標値の平均を原点とするような新しい座標系で考えると値を0にできます。
これを実際に計算してみましょう。x座標の平均値は171.0、y座標の平均値は65.4なので、それぞれを引いた値をX, Yとして新しい学習データの表を作ります。
新しい座標系で散布図を作ると次のようになります。
次のページ
新しい座標系に関する重みをW0,W1とすると、予...この記事は会員登録で続きをご覧いただけます




